1. 标题
· 一个基于辐射亮度的劈窗地表温度反演算法:理论及其在MODIS 数据的应用
· A Radiance-based Split-window Algorithm for Land Surface Temperature Retrieval: Theory and Application to MODIS Data
2. 成果信息
· Wang, M., He, G., Zhang, Z., Wang, G., Wang, Z., Yin, R., ... & Cao, X. (2019). A radiance-based split-window algorithm for land surface temperature retrieval: Theory and application to MODIS data. International Journal of Applied Earth Observation and Geoinformation, 76, 204-217.
· //www.sciencedirect.com/science/article/pii/S0303243418306287
· doi: 10.1016/j.jag.2018.11.015
3. 成果团队成员
· 王猛猛,博士,草榴社区
信息工程学院,讲师,主要从事热红外遥感及其在生态环境的应用研究。
· 何国金,博士,中国科学院遥感与数字地球研究所,研究员,主要从事遥感信息智能处理与应用。
4. 成果介绍
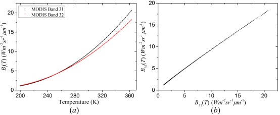
劈窗算法是目前最通用的热红外遥感地表温度反演算法。劈窗算法利用两个热红外通道大气吸收差异来校正大气影响,从而解算出地表真实温度。目前的劈窗算法都是建立地表温度与两个热红外通道亮度温度之间的模型,可以统称为基于亮度温度的劈窗算法。为了建立地表温度与两个热红外通道亮度温度之间的模型,需要简化普朗克方程,即用简单的模型来表示普朗克辐射亮度与温度之间的关系。最常用的简化普朗克方程的方法是基于泰勒扩展的线性化方法。当地表比热容较大、大气水汽含量较高的条件下,地表温度与星上亮度温度之间的差异显著,基于泰勒扩展方法的辐射亮度与亮度温度之间的转换精度较差。本研究直接建立两个热红外通道辐射亮度之间的关系,代替建立普朗克辐射亮度与温度之间的关系,提升了辐射亮度之间的转换精度,建立了地表温度与两个热红外通道辐射亮度之间的关系,提出一个基于辐射亮度的劈窗算法(Radiance Based Split Window Algorithm,RBSWA),并应用于MODIS数据地表温度反演。
在前人研究的基础上,本文引入了一些改进,包括:1)定义并建模了大气参数
(即
),降低由
近似等于
带来的误差,见图 1;2)利用两个热红外通道辐射亮度之间的关系代替单个通道辐射亮度与亮度温度之间的关系,提升了辐射亮度之间的转换精度,见图 2;和3)用全局拟合的方法求解RBSWA算法的系数,规避单个拟合大气参数误差的叠加,见图 3。基于模拟数据、MODIS 地表温度产品和SURFRAD数据,对RBSWA算法开展了敏感性分析和真实性检验。
基于模拟数据集对RBSWA 算法的精度验证结果表明,RBSWA算法的全局精度为0.505 K,相比已存在的三个经典的劈窗算法,精度提高了约0.3 K,见图 4。本研究提出的算法同样适合于其他的有两个热红外通道的遥感数据,例如AVHRR、AATSR、VIIRS和Landsat 8 TIRS。通过重新计算
、
、
和
模型的系数,算法即可以改编至其他的传感器数据。
图 1 大气参数
(即
)与大气水汽含量的自然对数之间关系

图 2 (a)表示波段31辐射亮度B31(T)与亮度温度T之间以及波段32辐射亮度B32(T)与亮度温度T之间的关系;(b)表示波段31辐射亮度B31(T)与波段32辐射亮度B32(T)之间的关系

图 3 (a)表示单独拟合大气参数时劈窗算法误差直方图;(b)表示基于全局拟合方法时劈窗算法误差直方图

图 4 基于模拟数据集的不同劈窗算法地表温度反演精度验证,(a)表示本文提出的基于辐射亮度的劈窗算法;(b)表示Sobrino等人提出的劈窗算法;(c)表示万增明等人提出的通用劈窗算法;(d)表示覃志豪等人提出的劈窗算法